Resumo
Os resíduos provenientes das indústrias, esgotos ou redes pluviais, que são lançados no meio ambiente na forma de líquidos ou gases são chamados de efluentes. Cada efluente possui características próprias inerente a sua procedência, podendo conter as mais variadas substâncias de origem química ou orgânica. As indústrias, por exemplo vem gerando grandes quantidades de efluentes, nos quais suas composições variam de acordo com o ramo de atividade exercida. Nesse contexto, a grande quantidade de efluentes gerados e descartados na natureza despertam grandes preocupações e para isso métodos de tratamento vem sendo estudados, uma vez que algumas dificuldades são encontrados quando se aplicam os tratamentos convencionais, como por exemplo a remoção de cor dos efluentes. Dessa forma, o presente trabalho objetivou o estudo da aplicação de processos oxidativos avançados, que se baseiam na geração de radicais hidroxilas, que reagem com moléculas do contaminante degradando-as para o tratamento. O processo oxidativo avançado utilizado foi o foto-Fenton. Esse processo foi aliado a processos convencionais como o tratamento biológico utilizando reatores biológicos anaeróbicos (UASB) e o tratamento fisico-quimico que utilizou coagulantes químicos. Os resultados obtidos mostram que a união de processos foi eficiente quando aplicado, para a remoção de DQO de um efluente complexo como o chorume, proveniente de um aterro que recebe resíduos industriais e sanitário.
Introdução
Com o aumento no crescimento populacional, os resíduos gerados apresentam também um constante aumento necessitando assim de um tratamento adequado. Para que diminua as contaminações de rios e solos, diversos tipos de tratamentos vem sendo estudados na tentativa de amenizar a situação (Lo, 1996). Este trabalho visou a união de processos ao tratamento biológico utilizando um reator UASB, sendo este um processo já utilizado em estações de tratamento de esgoto existentes.
Segundo Kunz et. al. (1999), a grande motivação dos estudos de biodegradação é a busca por microrganismos versáteis, capazes de degradar de maneira eficiente um grande número de poluentes a um baixo custo operacional. O funcionamento do reator UASB utilizado baseia-se no esquema ao qual o esgoto afluente entra no sistema pelo fundo do reator de forma ascendente atravessando lentamente uma camada de lodo que se encontra na zona inferior do reator e passa por um separador de fases enquanto escoa em direção a superfície. O separador de fases é importante para a separação da zona de digestão (zona inferior) e a zona de sedimentação (parte superior).
Sousa et. al. (2000) afirma que em regiões de climas quente, a digestão anaeróbia apresenta-se como solução econômica e confiável para o tratamento de esgotos sanitários, porém este processo resulta em efluente com constituintes residuais, como matéria orgânica, sólidos suspensos, nutrientes (fósforo e nitrogênio) e organismos patogênicos. Desta forma, efluentes advindos de um reator UASB necessitam de um pós-tratamento.
Outro tratamento utilizado foram os Processos Oxidativos Avançados, Sayid Abdulah (2011) afirma que os POAs são conhecidos pela sua capacidade de oxidar quase todo o material reduzido presente nos corpos de água sem restrição a classes específicas ou grupo de compostos. Os Processos Oxidativos Avançados são os processos no qual a sua formação é feita por radical hidroxila (•OH), que é considerado um radical altamente oxidante. Sendo assim, este radical pode degradar vários compostos orgânicos transformando-os em gás carbônico, água e compostos inorgânicos devido ao alto padrão de redução. O processo oxidativo avançado utilizado foi o foto-Fenton.
Processos baseados na reação de Fenton têm sido aplicados com sucesso no tratamento de diversos tipos de efluentes industriais (Villa et. al.; 2007). Este processo se baseia em um radical hidroxila que é o responsável pela oxidação de compostos orgânicos realizada no escuro, conhecida como reação térmica de Fenton. Neste sistema Fenton os íons de Ferro são capazes de decompor peróxido de hidrogênio cataliticamente em água e oxigênio (Nogueira et. al.; 2007) pela Equação 1:

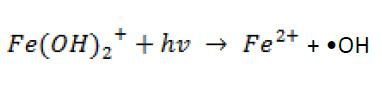
A eficiência dos processos Fenton já é comprovada e amplamente utilizada para tratar efluentes, esta eficiência pode ser aumentada com a utilização de luz obtendo assim um processo com algumas particularidades chamado processo foto-Fenton. Este processo se baseia no fato de que quando complexos de Fe3+ são submetidos a luz, isto implica na redução de Fe3+ a Fe3+ baseado na Equação 02. O Fe3+ gerado reage com dando sequência a reação de Fenton.

Vários estudos relataram que a eficiência de degradação do processo de oxidação é melhorada sob iluminação ultravioleta (UV) quando comparada à reação de Fenton comum (Sayid Abdulah, 2011). Esta melhora se dá devido ao fato de a decomposição do peróxido de hidrogênio ser acelerada sob irradiação. Segundo Liu (2010), a vantagem da oxidação de Fenton e foto-Fenton é que eles são capazes de oxidar e mineralizar alguns tipos de molécula orgânica, produzindo
e ânions inorgânicos. Porém a mineralização unicamente por este processo se dá de forma muito cara, acarretando em uma desvantagem para o processo se comparado aos custos dos tratamentos biológicos. Desta forma, tendo como finalidade reduzir os custos do processo e manter a eficiência do tratamento, recomenda-se a realização deste processo combinado a um pré-tratamento realizado por um processo biológico.
O trabalho teve como objetivo estudar a união de diferentes processos de tratamento de efluentes, verificando a eficácia dos POAs, processos biológicos e processos físico-químicos e a união destes. A análise para verificar a eficácia dos processos foi a Demanda química de Oxigênio (DQO) antes e após a aplicação dos tratamentos.
Autores: Michelly Mara Matos Cirino; Laila Maciel Rocha; e Milady Renata Apolinário da Silva.
